类型:
不限 书法 印刻 人物 山水 花鸟
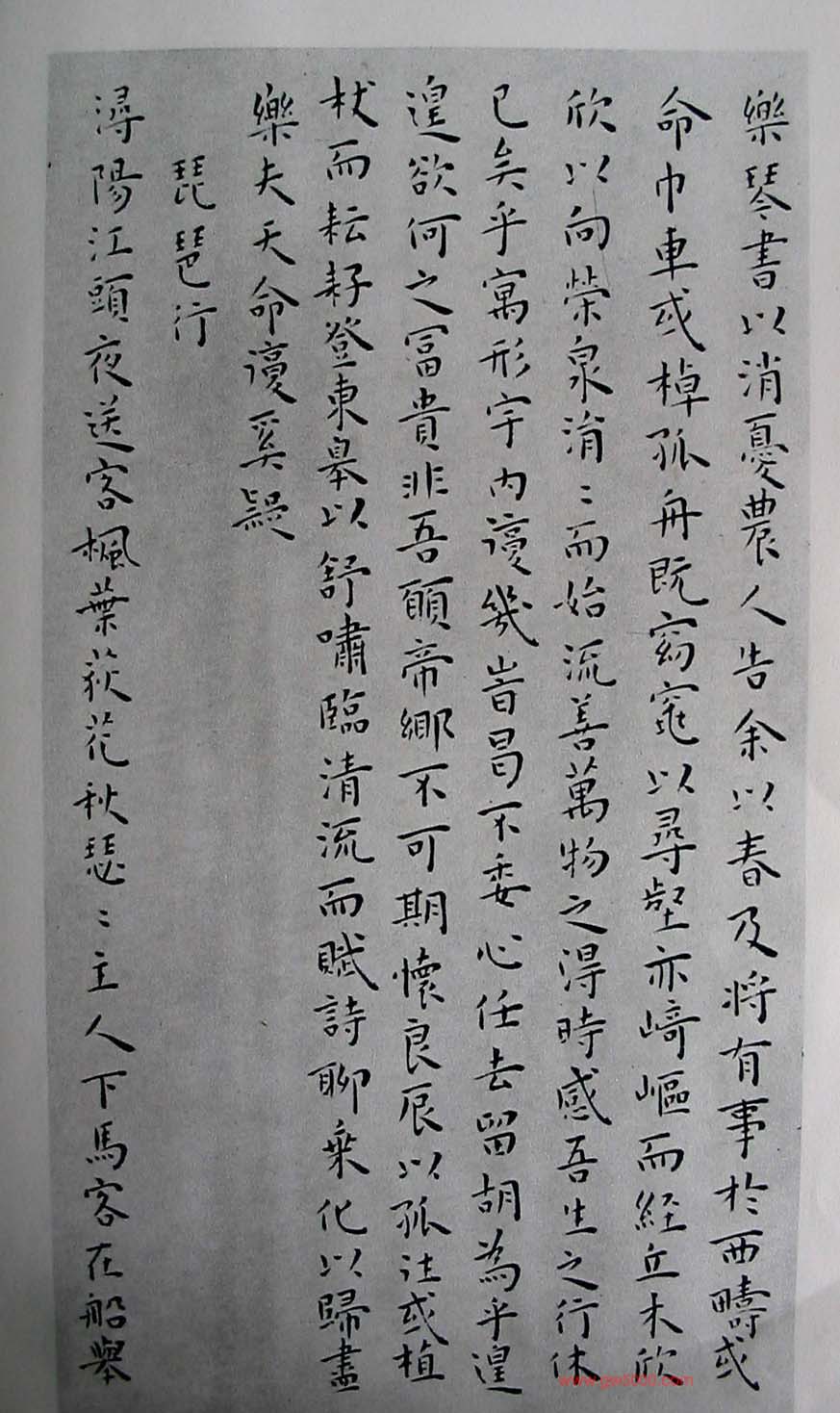
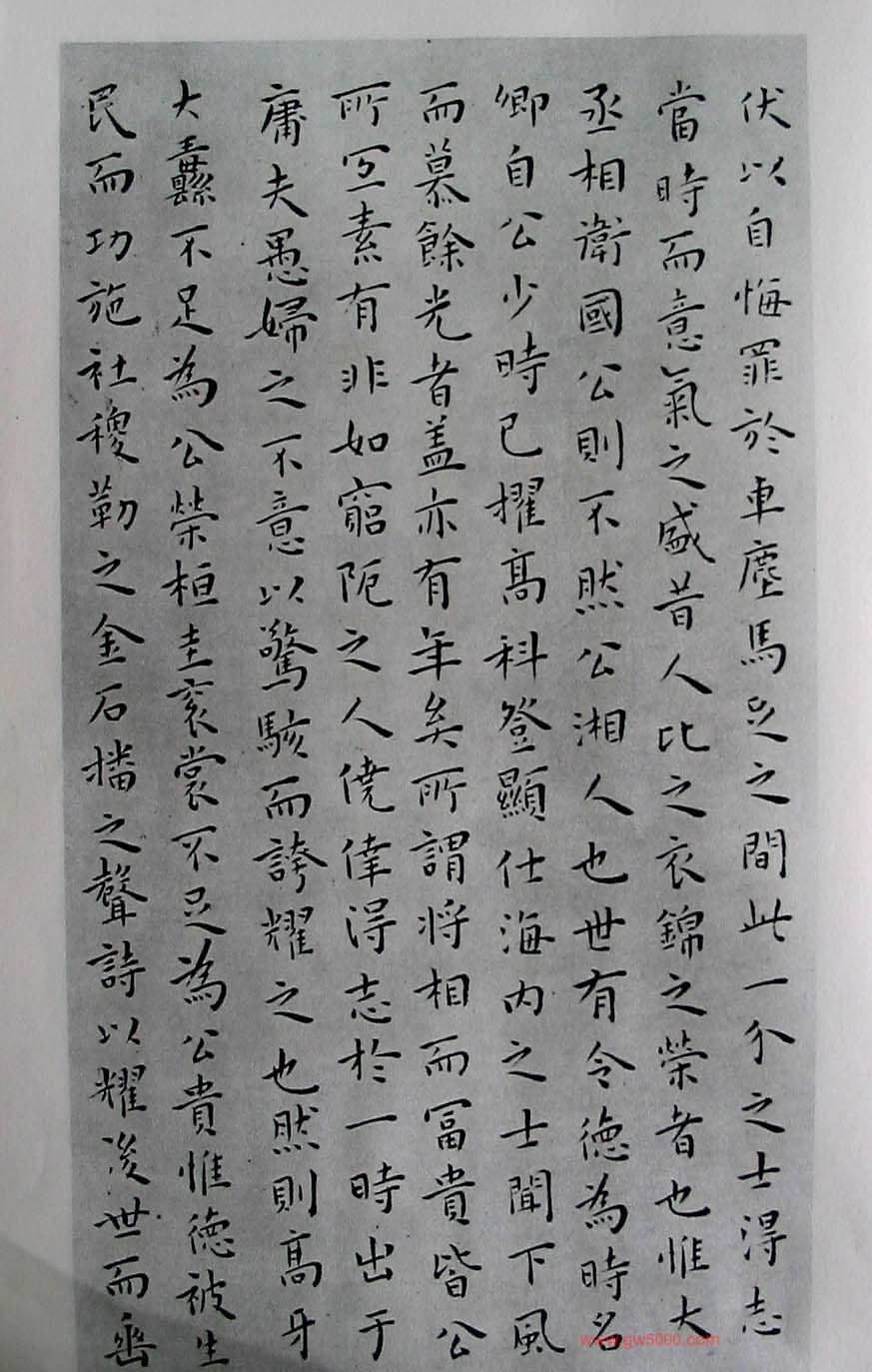
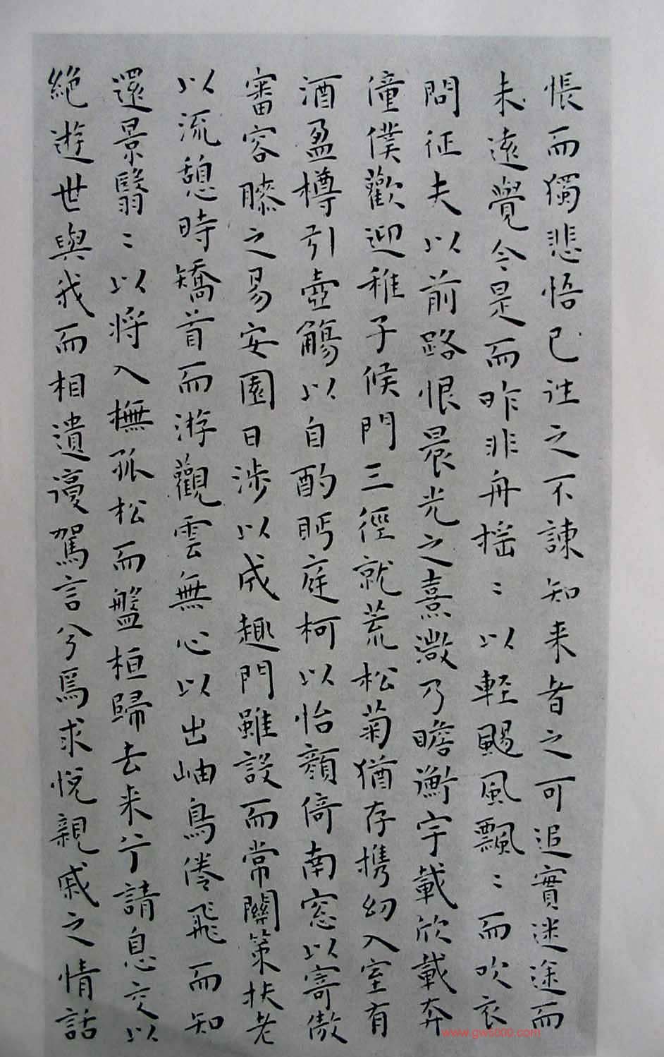
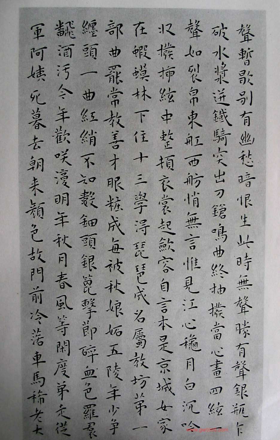
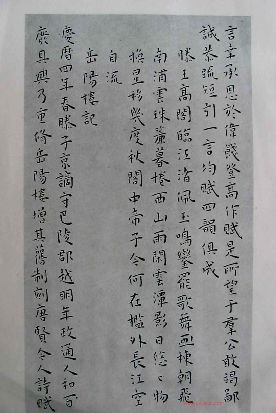
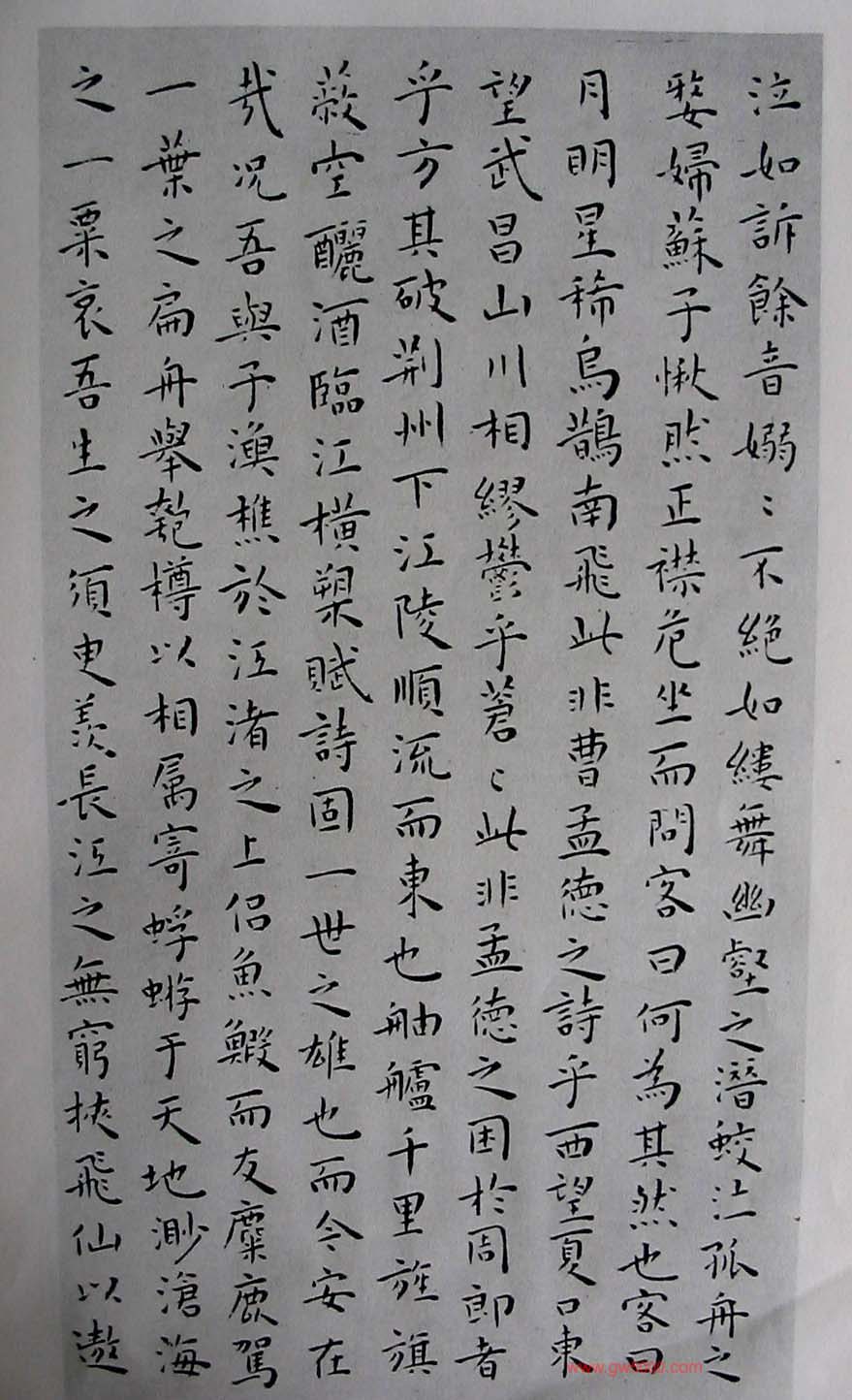
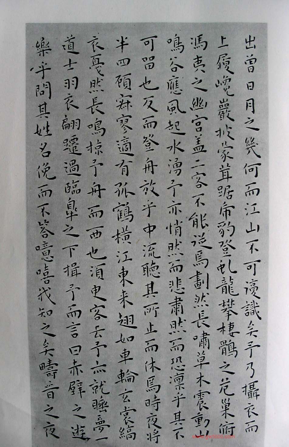
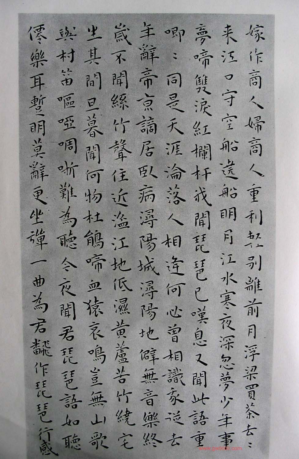
王宠书法欣赏《明雅宜山人小楷真迹》

历代法书萃英:王宠书法欣赏《明雅宜山人小楷真迹》,上海书画出版社1983年版。

王宠(1494—1533)初字履仁,号雅宜山人。长洲人。一生仕途不佳,八次应试,皆不第,为唐寅姻亲,其子娶唐女,亦与文徵明交善。



















全部评论(0)
书画名家
© 2013 中国文化网 www.gw5000.com 粤ICP备17004399号 电话:15202072006
搜索 我的

我的收藏

请先登陆